【茨城県高校入試数学】x² − x − 12 の因数分解|つまずきポイントを家庭教師が解説
家庭教師のセタ先生です。
今回の記事では、動画で解説した 「x² − x − 12 の因数分解」 について、
お子さんがつまずきやすいポイントを整理しながらお伝えします。

目次
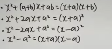
因数分解でつまずく原因は「公式を理解できていないこと」
この問題でお子さんがつまずきやすいポイントは、
因数分解の公式をきちんと理解しているかどうか です。
代表的な因数分解の公式は 4つ。
この4つは必ず覚えておかないと、この問題や類題を解くことはできません。

まずはお子さんに、
この4つの公式をしっかり覚えること
を最優先で徹底してください。
4つの公式のどれに当てはまるかを判断する
公式を覚えたら、次は
「この式がどの公式に当てはまるのか?」
を判断します。
x² − x − 12 は、まず最初の公式の形には当てはまりません。
この時点で、候補を 3つに絞る ことができます。
さらに、次の2つの公式は
真ん中の項が必ず 2 の倍数 になるという特徴があります。
しかし今回の真ん中の項は −1。
2の倍数ではないので、これら2つも除外されます。
つまり今回使うのは、
残った1つの公式 になります。

足して −1、掛けて −12 になる数字を探す
使う公式が決まったら、
次に 2つの数字の組み合わせ を考えます。
今回必要なのは、
- 足して −1
- 掛けて −12
になる2つの数字です。
この条件を満たすのは、
3 と −4
です。
実際に確認すると、
- 3 − 4 = −1
- 3 × (−4) = −12
となり、どちらも元の式の数字と一致します。
因数分解の最終形と答え
以上のことから、
x² − x − 12 を因数分解すると、
(x + 3)(x − 4)
となります。
選択肢では 「ウ」 がこの形になるので、
答えはウ です。